The water-blocking buffer gel structure visualization for the real fiber cable and the influence distributed defects to signal loss.

Yullia S. Zagaynova, Basil V. Levit, Dmitry B. Lipov, Alexander N. Malov, Yury N. Vigovsky

Irkutsk State University,

TCMS-12 Rostelekom Co.,

Irkutsk branch of the Laser Physics Institute of Siberian Division of the Russian Academy of Sciences

(Irkutsk, Russia).

ABSTACT

The direct-shadow visualization with the help of a coherent radiation for the optical fiber module has allowed to detect local optical heterogeneity as in a density of the water-blocking buffer gel and violation of a twist-structure of optical fibers. The optical module parts having bulk distributed transmission imperfections was revealed with the help of standard optical time-domain reflectometer (OTRD). The really detected imperfections identification was carried out, the visual imperfections separation to exploitation and manufacturing defects.

Keywords: fiber, gel, shadow, laser, non-uniformity, phase, image, buffer tube.

    1. INTRODACTION
    2. The spatial distributed imperfections visualization method is additional one to nondestructive techniques for diagnostics and testing of fiber optical line of communication (FOLC), which is allowing to determine the reason of appearance defects. Whether these module imperfections are exploitation or manufacturing. The shadow method of detection of module imperfections allows in a new fashion to cast a glance at the requirements for manufacture of fiber systems on the other aspect. The simplicity and obviousness of the shadow coherent-optical monitoring schemes enables widely to use them for nondestructive monitoring of quality of an industrial production. This method also allows carry out trials in the real season temperature and to prevent emerging a number of imperfections, beforehand showing: under what climatic zones the tested optical modules can be used.

    3. VISUALIZATION OF PHASE OBJECTS
    4. The refractive index of inhomogeneous phase object is function of three space coordinates (fig. 1.) Under the Snell's law the laser light ray passes a point on the observed plane, while undeflected beam would come in a point . The laser light ray passed, coming in a point , deviates from initial trajectory. Also the light rays passes an optical path in a heterogeneity, defined from integral , where s - geometric path length of a ray in object.

      Thus except visual direct observation in the image plane it is possible to measure the following quantities: ray displacement, deflection ones in a heterogeneity, phase shifts. The detection of phase objects by the direct-shadow method is fulfilled without the optical elements because visualization happens due to focusing properties of the object (the fiber module with water-blocking buffer gel). The optical module parts is illuminated by divergent beam from helium-neon laser (fig. 2.).

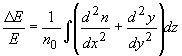
      The light beams, which are passing through heterogeneity of the water-blocking buffer gel, change the ones direction. It reduces to light intensity redistribution in the image plane (fig. 3.). The formed direct-shadow image depends on absolute value of angular deflection. The variation of the light intensity is proportional to second-order derivative of refractive index

      ,

      where - incident light intensity, - variation of light intensity, - refractive index.

      Quantitative responses can be received with the help direct-shadow method in the case of neglects to a ray curvature in a heterogeneity and also additional displacement on a path between a heterogeneity and observed plane, These assumptions are not always admitted for examination in the field of sharp variation of refractive index. Therefore, this method seldom applied to quantitative measurements. Usually it use for a qualitative detection of zones with great a heterogeneity index density. The image quality can be rose by use a cylindrical lens in the final cascade of the image formation system. The lens focus length must be in conformity with a diameter of the research module and parameters of a laser beam.

    5. THE RAISED ATTENATION CAUSES
    6. In the 1999-2000 winter the attenuation increasing was detected at an evaluation of quality of the "Novosibirsk-Khabarovsk" FOLC on some parts in connective couplings, which connected the dielectric cable with storm-rope cable. The measurements by the OTDR have shown, that the attenuation was raised in optical fibers of a dielectric cable, which are placed above a ground surface and was most subjected to influence of low temperatures (fig. 4.). It is necessary to mark, the imperfection was not precisely location. It was a spatially distributed defects for the space of ten meters. For the first time, the raised attenuation was discovered in January-1998. In January-2000 similar problems was revealed in a dielectric cable on six parts in outcome of test-prophylactic measurements. A maximum value of attention has made about 5,4 dB. There are some peculiarities such as: the given effect is exhibited at negative temperatures (below - ) and on a vertically cable part which is going out to support from a high-voltage line.

      The most probable reason of the increased signal attenuation in a dielectric cable is represents by local non-uniformity origin in hydorfobous compound (gel) of the optical module because of thermal gel polymeric structure collapse a at low temperatures. The gel structure was changed thanks to modification of moisture-matter in the gel layer. But a real gel structure changes is while unknown in exploitation process. This situation is complicated also by difference of gel properties in the module as a thin layer, from properties of a massive gel sample.

      Reasons for a modification of a structure has arose from specific thermal evolution of boundary layers of a hydorphobos compound in the optical module in a warmer season. The thermal inter seasonal fluctuations are in a limit from to , and daily variations of temperature amount to . The non-coordination of thermal, adhesive and capillary properties are the basic reasons for origin of imperfections. Also the losses in the FOLC can be conditioned by fiber imperfections, which are formed by micro bends due to a buffer tube compression in the considerable part of module at low temperature. The fiber micro bends are caused by local variations of a hydorphobos compound density (gel density), which filling the buffer tube. A losses are increased in the micro bends. The surplus geometrical fiber length in the module and inappropriate thermal expansion of the optical module are conditions for shaping the increased number of micro bends. The extension of the module happens in a warm season. In the winter the inverse compression process is difficult because of the increased viscosity of a hydorphobous compound. Thanks to it fibers in buffer tube are twisted in a spiral spontaneously, i.e. take place a twist-structure of optical fibers.

    7. THE OPTICAL MODULE SPATIALLY DISTRIBUTED IMPERFECTIONS DETECTION
    8. The researches of properties and gel composition were carried out. The structural-capillary properties were also taken into account such as temperature gel collapse, variation of moisture-matter and presence availability of capillary-adhesive occurrences in gel layer. The optical configurations for visualization and documenting of non-uniformity in the module were specially developed with the of extreme coherent laser radiation for visible range (fig. 5).

      The module was fixed in the scheme (fig. 5). The divergent laser beam with a high intensity () is driving into fiber end-face. This beam was spread in volume of the optical module instead of on a single fiber. Diffusion a laser radiation on non-uniformity are "gas bubbles" and weighed inclusions in the gel layer. It is necessary to mark, the presence of gas bubbles through the module with half-transparent buffer tube can be observed visually without use of the laser.

      Gas bubbles by a diameter of the order were observed on module part of the order . The diffusion only on non-uniformity with the size of the order was observed at . Gas bubbles were observed through an interval . The detection of local non-uniformity makes possible the supposition about spatially distributed imperfections. These local inclusions can be a consequence of

      a) violation of the requirements at manufacture of optical cables (introduction of an air and weighed inclusions in the gel);

      b) structural modifications of gel at exploitation of the optical cable in the climatic conditions of East Siberia and vertical disposition of an optical cable.

      Probably, gas bubbles lead to spatially distributed. These imperfections can lead to great losses in the FOLC. At a vertical disposition of a cable gas bubbles by gravity and at high temperature (up to ) can move in optical module because of diffuse capillary currents of gel inside the module. Gas bubbles promote forming of micro bends in fibers. The existence of gas bubbles and weighed inclusions can lead to gradual attenuation of a signal for the space of all vertical part of a cable.

    9. THE DIRECT-SHADOW METHOD

The direct-shadow method was used study of inside structure of optical module. The optical module fixed vertically in the holder was placed in a lens focus (fig. 2). The holder allows to move the module along a vertical axes. The enlarged image of the module on a screen was exceeded with the help of the lense. As the researched module has a half-transparent buffer tube, it is possible to visualize the module inside.

The constantly varying image as spatially distributed imperfections of a various type was observed at transition of the module in the holder. It is necessary to mark, that the imperfections are exhibited the best of all at dynamic loading. The obtained images were registered. In some cases small-sized gas bubbles () was well observed (fig. 6(a)). These imperfections can lead to forming of fiber micro bends because of the gel pressure modification on fiber deformations. Also, bubbles with a diameter are observed. These imperfections give a diffusion image of module with clearly looked fibers systems (fig. 6 (a, b)). Fibers was stuck by gel in these parts of module with gas bubbles. Fibers in the module form system of fibers. This configuration of fibers places on a center of the module, that lead to strain of fibers along their own axes.

Except for gas bubbles, the local non-uniformity as of "dark areas" were observed at motion of the module in the holder (fig. 3.2.2.(c, e)). These non-uniformity had more precise boundaries than gas bubbles. "Dark areas" move in module at exerted pressure to one from fiber end-faces of the module. The light scattering is observed on the boundaries of local non-uniformity. Probable the light scattering is scattering volume containing gas molecules. The following reasons of emerging of areas with the increased density were considered.

1. The local non-uniformity can be a consequence of structural modifications of hydorphobous compound (gel) under an operation of season or daily modifications of temperature.

2. The weighed particles are in hydorphobous compound (gel). The weighed particles can be kernels for gel layers or water drops growth at the same structural modifications of gel.

The weighed transparent particles (presumably - glass crumb) were detected at a gel research with helps of microscope. Size of particles makes micron. The assigning glass crumb in gel layer remains vague. Probable, areas of weighed particles destroy fibers at the friction existence, which is a consequence of diffuse microcapillary currents in gel layer inside the module by gravity at vertical disposition. Also, the inside walls of buffer tube can be destroy that lead to diffusion of water steam through buffer tube increased of a moisture amount in a gel layer and structural modifications.

Also, singularities of a fiber-system disposition in the module were detected with the help of direct-shadow method. On same parts, the joint-twisted fibers into optical module can be visualizated too.

6. CONCLUSIONS

As a result of experimental research the following outcomes are obtained:

1. The features in a complete set of optical wave guides inside an optical module are detected.

.2. Are found of a different type of actuation in a hydrophobic compound. To the detected defects concern of such local non-uniformity as: gas "bladders" and " dark areas ".

3. The module was checked up not involved in activity on a vertical segment. All above-stated defects were detected. That enables to assert(approve), that at a vertical run of the researched optical module there will be same problems losses on FOLC.

4. In the given article the qualitative description of defects is resulted only. But, it is necessary to mark, that the theoretical description of the detected defects is extremely inconvenient.

References

  1. Yu.V.Agrafonov, D.B.Lipov, A.N.Malov, A.V.Ovchinkin, “The fiber optics communication lines exploitation problems”, Computer Optics, N 19, pp. 159 – 164, 1999 (in Russian).
  2. V.A.Moskalev, The optical-physics researches theoretical principles, Mashinostroenie, Leningrad, 1987, (in Russian).
  3. A.G.Muradyan, I.S.Goldfarb, V.P.Inozemcev, Optical cables for multichannel communication lines, Radio i svyaz, Moscow, 1987 (in Russian).
  4. D.J.Sterling, Technician’s guide to fiber opnics, Delmar publ. Inc., London, 1993.
  5. J.W.Goodman, Introdaction to Fourier optics, McGraw-Hill book company, New York, 1968.
  6. O.B.Vitrik, The physical principles of the fiber-optical measuring nets for physical fields parameters multidimensional distributions reconstraction, The professor thesis, FESTU, Vladivostok, 1998, (in Russian).
  7. J.Gowar, Optical communication systems, Prentice/Hall International, 1984. Íåôô Äæ.., Ð.Àòõàëå, Ñ.Ëè. Äâóìåðíûå ïðîñòðàíñòâåííûå ìîäóëÿòîðû ñâåòà. //ÒÈÈÝÐ, ò.78, N5,1990, ñ.29-57.